好彩娱乐~welcome官网

微信咨询

好彩娱乐~welcome官网400-888-5135

好彩娱乐~welcome官网3nh@3nh.com

新闻动态

色度计精度是怎么获得的?

发布时间:2022-07-22 10:46:08  

色度计及其三色过滤系统具有固有的局限性。简而言之,过滤检测器进行 CIE 颜色匹配并不容易。实际上,正在使用单独的滤光片来获取光并分离三种颜色波长(宽带)。此外,3个滤光片通常是从单个多色滤光片切割而成的。这种多色滤光片通常在切割前进行涂层处理。但是涂层并不总是均匀地分布在整个表面上,并且可能会导致单个零件的更多不一致。

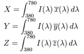
毕竟,必须从3种颜色中获取数据并将它们重新组合在一起以到达颜色图上的一个点。

下图是3个光片公式的计算方法:

色度计精度是怎么获得的

在线客服
联系方式
  • 400-888-5135
  • 3nh@3nh.com
灵蛇澳门2025年今晚看-灵蛇网4846cc-灵蛇网免费资料大全--灵蛇网4846cc最新版本更新内容-澳门灵蛇网4949 澳门灵蛇网4949-香港灵蛇网论坛资料大全最新-灵蛇网4846cc最新版本更新内容-灵蛇网4668cc-灵蛇澳门2025年今晚看 百瑞彩票9 - 首页 香港六玄开奖网-六玄网132432-六玄神马开奖44579-六玄公式6588777-六玄神马免费中特料-澳彩六玄网论坛6258cmcc 天游8线路检测中心|欢迎您 辉耀彩 - 首页