最初的孟塞尔系统经过一段时间使用后,发现它的颜色样卡在编排上不完全符合视觉上等距的原则,1937年美国光学协会色度学委员会成立了一个专门研究孟塞尔系统的分会,经过了6年实验研究,进行光谱光度测定、观察、判断近几百万人次,于1943年制定出《孟塞尔新标系统》。
好彩娱乐~welcome官网重新编排并增补了图册中的色卡,使修正后的色卡在编排上更接近视觉上等距的原则,且对每一张色卡都可给出相应的CIE 1931标准色度系统的色品坐标。这个新标系统的颜色样卡代表在 CIE 标准光源C照明下可制出的所有表面色(非荧光材料)。新标系统的明度值及色调、彩度均建立在大量实验的基础上。

好彩娱乐~welcome官网孟塞尔新标系统的明度值等级是通过视觉实验得到。方法有二:①让实验观察者在一系列明度不同的中性灰色及黑、白样卡中选出一块样卡,要求其正好在视觉上居于黑、白系列的正中间,即选一块灰色样卡将黑白系列二等分;然后再在黑与灰卡和白与灰卡的正中间各选一个灰卡,即在视觉上将白、黑系列分出四个相等的距离,如此继续等分下去,就得到一个由黑到白多等级的均匀灰度系列。②从黑卡开始,选出一块在明度上怡可觉察出区别的灰卡,以此灰卡为基础,再挑选出刚可看出明亮不同的第二块灰卡,如此一直挑选至白卡为止。用这两种方法将明度值分为11个等级,并用光谱光度法测出各明度等级样卡的亮度因数Y,发现明度值V与Y值之间的关系是非线性的,可用多项式表示

好彩娱乐~welcome官网 该式观察条件为中灰色(Y=20%)背景。V=10代表理想漫射体的明度值。由于实际测量的Y值都是以氧化镁为标准进行测量,规定氧化镁的亮度因数为100%,而实际氧化镁的反射比只为97.5%左右,因此出现V=10时,Y=102.57%的情况。
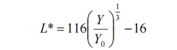
好彩娱乐~welcome官网由于过于繁杂,以上模型不便应用,1964年CIE采用威泽斯基的立方根模型代替,即其中,W*是 CIE 1964均匀颜色空间的明度指数。W*/10在亮度因数Y从1~100 范围内与前述五次多项式的V值很一致,即

好彩娱乐~welcome官网 W*=10V。1976年CIE 修改立方根模型为

其中,*是CIE 1976均匀颜色空间的米制明度,Y为理想漫射体的亮度因数,Yo=100。
在新孟塞尔颜色系统中,明度值相同的样卡处在颜色立体的同一平面上,它们之间只有色调和彩度的差异。以中央轴上的灰色样卡作为参照标准,在各种色调的样卡中挑出具有同一彩度等级的各种颜色卡片(例如/6),排列成一个恒定彩度圈,其色调在视觉上仍然不是等距的。为此,在同一彩度等级的色卡圈上,选出少量具有视觉上相等差距的不同色相,譬如五个主要色调红(R)、黄(Y)、绿(G)、蓝(B)、紫(P),将它们保留在圈上,然后再在这一圈上评定出各主要色调之间的中间色调,得出10个视觉上等距的色调,以此继续下去直到得出视觉上等距的各种色调。再根据这些色调,将此明度值平面上的各种色卡分成组,使每组内的各色卡都有相同的色调。
好彩娱乐~welcome官网在每组色卡中选定某一色卡,将其离中央灰色的彩度差作为标准,评定出彩度大于(或小于)这个差别一倍、两倍和更大倍数的色卡,直到将同一色调的色卡都排列进去为止。这样就以视觉上等距的原则,将同明度值的色卡按色调和彩度排列起来。同样对不同明度等级的其它色卡也按此法排列,得到不同明度值的色卡按色调和彩度排列图。

将各色卡通过光谱光度测量,测出它们的光谱反射特性曲线,进一步计算在C光源照明下 CIE 标准色度系统的Y,x,y值。将这些数值标志在 CIE 色品图上,每张色卡在CIE色品图上有一个固定的位置。对应于一个明度值的各种色卡可在一张色品图上表示出来,从明度值为1至9可绘制出九张色品图。在一张色品图上,相同彩度的色卡在色品图上的位置连成的轨迹圈称为恒定彩度圈,相同色调的色卡在色品图上的位置连成的轨迹称为恒定色调轨迹。图给出表面色在 CIE1931年色品图上的恒定色调轨迹和恒定彩度轨迹圈(注意不是同心圆,说明CIE色品图不是视觉上等距的颜色系统)。
由实验绘制出的孟塞尔色卡的 CIE 色品图上的恒定色调和恒定彩度轨迹曲线,经过调整,使色卡的轨迹更接近于平滑曲线,得到某一明度值的恒定色调和恒定彩度轨迹的色品图。孟塞尔标号与 CIE 标准色度系统的色品坐标及丫值的对应关系表见附表4-1,表中的xy,Y值是对应在 CIE 的C光源照明下孟塞尔色卡的值。
分析对比不同明度值的色品图可以看出,在中等明度值4/-6/时(亮度因数Y=12~30%),有产生最大饱和度表面色的可能性,而在明度值9/时(亮度因数Y=79%),不可能有非常饱和的表面色,特别是蓝、紫、红部分更是如此。从明度值5/到1/随着明度值的降低,每一恒定彩度轨迹圈急剧增大,意味着人眼分辨饱和度的能力随明度的降低而降低。明度值1/或2/时,色品图黄、绿部分只剩下很少几个恒定彩度轨迹圈,表明在低明度时,黄、绿色也不可能有很大的饱和度。同时低明度的表面色,虽然在黄绿部分的色品坐标有较大变化时,但饱和度的变化却很小。