色牢度计算公式主要用于量化纺织品在外部因素(如洗涤、摩擦、光照等)作用下的颜色变化程度。以下是不同色牢度类型的关键计算公式及说明:

好彩娱乐~welcome官网变色牢度通过计算试样处理前后的色差(ΔE)来评定,核心公式包括:
好彩娱乐~welcome官网1. CIELAB 基础色差公式

参数:
好彩娱乐~welcome官网ΔL *:明度差(正值为变亮,负值为变暗)
好彩娱乐~welcome官网Δa * :红绿色度差(正值为偏红,负值为偏绿)
Δb *:黄蓝色度差(正值为偏黄,负值为偏蓝)
应用:通用基础公式,但均匀性较差,适用于初步色差评估。
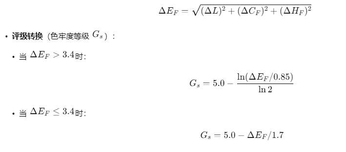
好彩娱乐~welcome官网2.改进色差公式(ΔEF)

好彩娱乐~welcome官网特点:优化色差计算,更贴合视觉感知,用于仪器评级。
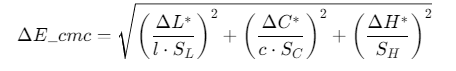
3. CMC(l:c) 公式(纺织业主流)

权重因子:
好彩娱乐~welcome官网SL、SC、SH随颜色位置动态调整;
好彩娱乐~welcome官网纺织行业常用 l=2,c=1(即CMC(2:1),强调明度差异的容忍度高于色度
好彩娱乐~welcome官网沾色牢度通过贴衬织物的污染程度评定,核心方法为:
1.灰度评级法
使用 灰度沾色样卡(GB/T 251)目视比对贴衬织物沾色程度,分为5级(5级无沾色,1级严重沾色)。
2.仪器量化法
测量贴衬织物的色差值(ΔE),再转换为沾色等级,公式同变色牢度的ΔE计算。
1.光源与环境:测量需在 D65标准光源 下进行,避免环境光干扰。
好彩娱乐~welcome官网2.分项指标解读:除总色差ΔE外,需分析ΔL*、ΔA*、ΔB*等分项,明确变色方向(如偏红或变暗)。
好彩娱乐~welcome官网3.临界值处理:当ΔE接近等级边界时(如ΔE=1.5对应4级),需结合 目视复核 确定最终等级。
好彩娱乐~welcome官网4.公式局限性:CMC公式对高彩度色(如荧光色)的适用性较低,需改用 CIEDE2000 等高级模型。